29강. 2차원 배열과 포인터(1)
int a[3][2] = {{1,2}, {3,4}, {5,6}};
a = 100
| a[0] | 100 | 1 (100) | 2 (101) |
| a[1] | 102 | 3 (102) | 4 (103) |
| a[2] | 104 | 5 (104) | 6 (105) |
printf("%d\n", a); //100
printf("%d\n", *a); //100
printf("%d\n", **a); //1
문) 다음 C프로그램의 실행 결과로 옳은 것을 고르시오
#include<stdio.h>
int main(){
int data[][3] = {1,3,4,5,2,9,6,8,7};
int *p = data[1];
int x, y;
x = *p;
y = *(p+2);
printf("x=%d, y=%\n", x, y);
}
30강. 2차원 배열과 포인터(2)
문) 다음 C프록램의 출력 값은?
#include<stdio.h>
int main(){
int darr[3][3] = {{1,2,3}, {4,5,6}, {7,8,9}};
int sum1, sum2;
sum1 = *(*darr+1) + *(*darr+2);
sum2 = *darr[1] + *darr[2];
printf("%d, %d", sum1, sum2);
}

31강. 포인터 배열(1)
* 포인터 배열 : 배열의 요소가 포인터(메모리주소)로 이루어진 것
char a[3]= {'a', 'b', 'c'];
a = 100
| a | b | c |
printf("%s\n", a); //abc
- - - - - - - - -
char *str = "Hello";
str = 100
| H | e | l | l | o |
printf("%s\n", str); //Hello
- - - - - - - - -
char *student[3] = {"aaa", "bbb", "ccc"};
student = 100
| 20 | 30 | 40 |
| 20 | a | a | a |
| 30 | b | b | b |
| 40 | c | c | c |
문) 다음 C프로그램의 실행 결과는?
#include<stdio.h>
int main(){
static char *c[] = {"aaa", "bbb", "ccc"};
printf("%s", *(c+1));
}

32강. 포인터 배열(2)
문) 다음 C프로그램의 실행 결과는?
#include<stdio.h>
int main(){
char *array1[2] = {"Good morning", "C language"};
printf("%s\n", array1[0] + 5);
printf("%c\n", *(array[1] + 6));
}

33강. 포인터 배열(3)
문) 다음 C프로그램의 실행 결과는?
void main(){
int a[2][3] = {{-3, 14, 5}, {1, -10, 8}};
int *b[] = {a[0], a[1]};
int *p = b[1];
printf("%d", *b[1]);
printf("%d", *(++p));
printf("%d", *(--p-2));
}

34강. 포인터 배열(4)
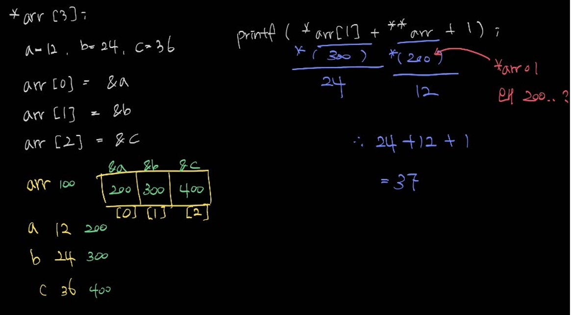
문) 다음 C언어에 대한 알맞는 출력값을 쓰시오
#include<stdio.h>
int main(){
int *arr[3];
int a = 12, b = 24, c = 36;
arr[0] = &a;
arr[1] = &b;
arr[2] = &c;
printf("%d\n", *arr[1] + **arr + 1);
}


반응형
'정보처리기사 > [흥달쌤] 실기_깨알 C언어' 카테고리의 다른 글
| C언어 특강 / 35. 구조체, 36. 배열포인터 (0) | 2022.06.07 |
|---|---|
| C언어 특강 / 25~28. 배열과 포인터(1) ~(4) (0) | 2022.05.24 |
| C언어 특강 / 21. 배열(1),(2), 23. 포인터, 24. scanf와 변수 (0) | 2022.05.09 |
| C언어 특강 / 13. 삼항연산자, 14. if문, switch문, 15. 반복문, for문, 16. while 문, 17. do~while, for, while, 18. while, if문, 19. for, continue, break, 20. 다중for문, continue, break (0) | 2022.05.06 |
| C언어 특강 / 10. 출력형식, 11. 진법변환, 비트연산, 12. 매크로, 비트연산 (0) | 2022.05.03 |